티스토리 뷰
사실 구글링 했다! 답이 n-1이길래 생각해본 결과
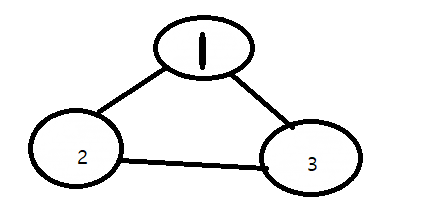
그림을 그려보니까

첫번째 케이스일 때 이러한 그래프가 나온다. 세 원을 다 탐색 하려면 무조건 2개 선분을 지나야한다.

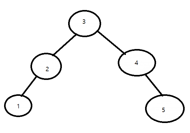
두번 째 케이스
제일 아래쪽 1번부터 5번까지 돌아야하는데 그러면 그려진 선분을 다 지나야한다. 그러면 꼭지점은 5개인데 그 사이에 존재하는 선분은 1개가 더 적을 것이다. (두 점이 있어야 한 선을 만드는 것의 원리)
그래서 답은 모든 나라 N개 - 1
T = int(input())
for tc in range(T):
N, M = map(int, input().split())
for i in range(M):
a, b = map(int, input().split())
print(N-1)'알고리즘 > 백준' 카테고리의 다른 글
| [백준] 2003. 수들의 합2 (0) | 2021.04.13 |
|---|---|
| [백준] 10974 . 모든 수열 (0) | 2021.04.13 |
| [백준] 1764. 듣보잡 (0) | 2021.04.06 |
| [백준] 1002. 터렛 (0) | 2021.04.04 |
| [백준] 1475. 방 번호 (0) | 2021.04.03 |
댓글
공지사항
최근에 올라온 글
최근에 달린 댓글
- Total
- Today
- Yesterday
링크
TAG
- 트리
- SQL
- vue.js
- vue
- javascript
- Pyhton
- DOM
- 싸피
- commit되돌리기
- SWEA
- 프로그래머스
- 세션 스토리지
- 위클리챌린지2주차
- Java
- 알고리즘
- 안드로이드스튜디오
- 독학
- splide
- AWS
- git
- 백준
- 비동기패턴
- django
- 배포
- 파이썬
- SSAFY퇴소
- SSAFY
- Python
- N과M
- 자바
| 일 | 월 | 화 | 수 | 목 | 금 | 토 |
|---|---|---|---|---|---|---|
| 1 | 2 | 3 | 4 | |||
| 5 | 6 | 7 | 8 | 9 | 10 | 11 |
| 12 | 13 | 14 | 15 | 16 | 17 | 18 |
| 19 | 20 | 21 | 22 | 23 | 24 | 25 |
| 26 | 27 | 28 | 29 | 30 |
글 보관함